info prev up next book cdrom email home

Legendre Polynomial

\begin{figure}\begin{center}\BoxedEPSF{LegendreP.epsf}\end{center}\end{figure}

The Legendre Functions of the First Kind are solutions to the Legendre Differential Equation. If $l$ is an Integer, they are Polynomials. They are a special case of the Ultraspherical Functions with $\alpha=1/2$. The Legendre polynomials $P_n(x)$ are illustrated above for $x\in[0,1]$ and $n=1$, 2, ..., 5.


The Rodrigues Formula provides the Generating Function

\begin{displaymath}
P_l(x) = {1\over 2^l l!} {d^l\over dx^l} (x^2-1)^l,
\end{displaymath} (1)

which yields upon expansion
\begin{displaymath}
P_l(x) = {1\over 2^l} \sum_{k=0}^{\lfloor n/2\rfloor}{(-1)^k(2l-2k)!\over k!(l-k)!(l-2k)!} x^{l-2k},
\end{displaymath} (2)

where $\left\lfloor{r}\right\rfloor $ is the Floor Function. The Generating Function is
\begin{displaymath}
g(t,x) = (1-2xt+t^2)^{-1/2} = \sum_{n=0}^\infty P_n(x)t^n.
\end{displaymath} (3)

Take ${\partial g / \partial t}$,
\begin{displaymath}
-{\textstyle{1\over 2}}(1-2xt+t^2)^{-3/2}(-2x+2t) = \sum_{n=0}^\infty nP_n(x)t^{n-1}.
\end{displaymath} (4)

Multiply (4) by $2t$,
\begin{displaymath}
-t(1-2xt+t^2)^{-3/2}(-2x+2t) = \sum_{n=0}^\infty 2nP_n(x)t^n
\end{displaymath} (5)

and add (3) and (5),


\begin{displaymath}
(1-2xt+t^2)^{-3/2}[(2xt-2t^2)+(1-2xt+t^2)] = \sum_{n=0}^\infty (2n+1)P_n(x)t^n
\end{displaymath} (6)


\begin{displaymath}
(1-2xt+t^2)^{-3/2}(1-t^2) = \sum_{n=0}^\infty (2n+1)P_n(x)t^n.
\end{displaymath} (7)

This expansion is useful in some physical problems, including expanding the Heyney-Greenstein phase function and computing the charge distribution on a Sphere. They satisfy the Recurrence Relation
\begin{displaymath}
(l+1)P_{l+1}(x)-(2l+1)xP_l(x)+lP_{l-1}(x) = 0.
\end{displaymath} (8)


The Legendre polynomials are orthogonal over $(-1,1)$ with Weighting Function 1 and satisfy

\begin{displaymath}
\int^1_{-1} P_n(x)P_m(x)\,dx = {2\over 2n+1} \delta_{mn},
\end{displaymath} (9)

where $\delta_{mn}$ is the Kronecker Delta.


A Complex Generating Function is

\begin{displaymath}
P_l(x) = {1\over 2\pi i} \int (1-2zx+z^2)^{-1/2}z^{-l-1}\,dz,
\end{displaymath} (10)

and the Schläfli integral is
\begin{displaymath}
P_l(x) = {(-1)^l\over 2^l} {1\over 2\pi i}\int{(1-z^2)^l\over (z-x)^{l+1}}\,dz.
\end{displaymath} (11)


Additional integrals (Byerly 1959, p. 172) include


\begin{displaymath}
\int_0^1 P_m(x)\,dx = \cases{ 0 & $m$\ even $\not=0$\cr (-1)^{(m-1)/2} {m!!\over m(m+1)(m-1)!!} & $m$\ odd\cr}
\end{displaymath} (12)


\begin{displaymath}
\int_0^1 P_m(x)P_n(x)\,dx = \cases{ 0\cr \quad m,n {\rm\ bot...
...\rm\ even,\ } n {\rm\ odd}\cr {1\over 2n+1},\cr \quad m=n.\cr}
\end{displaymath} (13)

An additional identity is
\begin{displaymath}
1-[P_n(x)]^2=\sum_{\nu=1}^n {1-x^2\over 1-{x_\nu}^2} \left[{P_n(x)\over P_n'(x_\nu)(x-x_\nu)}\right]^2
\end{displaymath} (14)

(Szegö 1975, p. 348).


The first few Legendre polynomials are

\begin{eqnarray*}
P_0(x) &=& 1\\
P_1(x) &=& x\\
P_2(x) &=& {\textstyle{1\ov...
...\\
P_6(x) &=& {\textstyle{1\over 16}}(231x^6-315x^4+105x^2-5).
\end{eqnarray*}



The first few Powers in terms of Legendre polynomials are

\begin{eqnarray*}
x &=&P_1\\
x^2 &=&{\textstyle{1\over 3}}(P_0+2P_2)\\
x^3 ...
...)\\
x^6 &=&{\textstyle{1\over 231}}(33P_0+110P_2+72P_4+16P_5).
\end{eqnarray*}



For Legendre polynomials and Powers up to exponent 12, see Abramowitz and Stegun (1972, p. 798).


The Legendre Polynomials can also be generated using Gram-Schmidt Orthonormalization in the Open Interval $(-1,1)$ with the Weighting Function 1.


$\displaystyle P_0(x)$ $\textstyle =$ $\displaystyle 1$ (15)
$\displaystyle P_1(x)$ $\textstyle =$ $\displaystyle \left[{x-{\int_{-1}^1 x\,dx\over \int_{-1}^1 dx}}\right]\cdot 1$  
  $\textstyle =$ $\displaystyle x-{{1\over 2}[x^2]^1_{-1}\over [x]^1_{-1}} = x-{{1\over 2}(1-1)\over 1-(-1)} = x$ (16)
$\displaystyle P_2(x)$ $\textstyle =$ $\displaystyle \left[{x-{\int^1_{-1}x^3\,dx\over \int^1_{-1}x^2\,dx}}\right]-\left[{\int^1_{-1}x^2\,dx\over \int^1_{-1}dx}\right]\cdot 1$  
  $\textstyle =$ $\displaystyle \left[{x-{{1\over 4}[x^4]^1_{-1}\over {1\over 3}[x^3]^1_{-1}}}\right]x
- {{1\over 3} [x^3]^1_{-1}\over [x]^1_{-1}} = x^2-{\textstyle{1\over 3}}$ (17)
$\displaystyle P_3(x)$ $\textstyle =$ $\displaystyle \left[{x-{\int^1_{-1}x(x^2-{1\over 3})^2\,dx\over \int^1_{-1}(x^2...
...}})-\left[{{\int^1_{-1}(x^2-{1\over 3})^2\,dx\over \int^1_{-1}x^2\,dx}}\right]x$  
  $\textstyle =$ $\displaystyle x\left[{x^2-{\textstyle{1\over 3}}-{({\textstyle{1\over 5}}-{\textstyle{2\over 9}}+{\textstyle{1\over 9}})x\over {\textstyle{1\over 3}}}}\right]$  
  $\textstyle =$ $\displaystyle x^3-{\textstyle{1\over 3}}x-3({\textstyle{1\over 5}}-{\textstyle{1\over 9}})$  
  $\textstyle =$ $\displaystyle x^3-x\left({{\textstyle{1\over 3}}+{\textstyle{3\over 5}}-{\textstyle{1\over 3}}}\right)= x^3-{\textstyle{3\over 5}}x.$ (18)

Normalizing so that $P_n(1) = 1$ gives the expected Legendre polynomials.


The ``shifted'' Legendre polynomials are a set of functions analogous to the Legendre polynomials, but defined on the interval (0, 1). They obey the Orthogonality relationship

\begin{displaymath}
\int_0^1 \bar P_m(x)\bar P_n(x)\,dx = {1\over 2n+1}\delta_{mn}.
\end{displaymath} (19)

The first few are

\begin{eqnarray*}
\bar P_0(x) &=& 1\\
\bar P_1(x) &=& 2x-1\\
\bar P_2(x) &=& 6x^2-6x+1\\
\bar P_3(x) &=& 20x^3-30x^2+12x-1.
\end{eqnarray*}




The associated Legendre polynomials $P_l^m(x)$ are solutions to the associated Legendre Differential Equation, where $l$ is a Positive Integer and $m=0$, ..., $l$. They can be given in terms of the unassociated polynomials by

$\displaystyle P_l^m(x)$ $\textstyle =$ $\displaystyle (-1)^m(1-x^2)^{m/2} {d^m\over dx^m} P_l(x)$  
  $\textstyle =$ $\displaystyle {(-1)^m\over 2^l l!}(1-x^2)^{m/2} {d^{l+m}\over dx^{l+m}} (x^2-1)^l,$ (20)

where $P_l(x)$ are the unassociated Legendre Polynomials. Note that some authors (e.g., Arfken 1985, p. 668) omit the Condon-Shortley Phase $(-1)^m$, while others include it (e.g., Abramowitz and Stegun 1972, Press et al. 1992, and the LegendreP[l,m,z] command of Mathematica ${}^{\scriptstyle\circledRsymbol}$). Abramowitz and Stegun (1972, p. 332) use the notation
\begin{displaymath}
P_{lm}(x)\equiv (-1)^mP^l_m(x)
\end{displaymath} (21)

to distinguish these two cases.


Associated polynomials are sometimes called Ferrers' Functions (Sansone 1991, p. 246). If $m=0$, they reduce to the unassociated Polynomials. The associated Legendre functions are part of the Spherical Harmonics, which are the solution of Laplace's Equation in Spherical Coordinates. They are Orthogonal over $[-1, 1]$ with the Weighting Function 1

\begin{displaymath}
\int_{-1}^1 P_l^m(x)P_{l'}^m(x)\,dx = {2\over 2l+1} {(l+m)!\over (l-m)!} \delta_{ll'},
\end{displaymath} (22)

Orthogonal over $[-1, 1]$ with respect to $m$ with the Weighting Function $(1-x^2)^{-2}$
\begin{displaymath}
\int_{-1}^1 P_l^m(x)P_l^{m'}(x){dx\over 1-x^2} = {(l+m)!\over m(l-m)!} \delta_{mm'}.
\end{displaymath} (23)

They obey the Recurrence Relations
\begin{displaymath}
(l-m)P_l^m(x)=x(2l-1)P_{l-1}^m(x)-(l+m-1)P_{l-2}^m(x)
\end{displaymath} (24)


$\displaystyle {dP_l^m\over d\theta}$ $\textstyle =$ $\displaystyle -\sqrt{1-\mu^2}\, {dP_l^m\over d\mu}$  
  $\textstyle =$ $\displaystyle {\textstyle{1\over 2}}(l-m+1)(l+m+P_l^{m-1}-P_l^{m+1})$ (25)


\begin{displaymath}
(2l+1)\mu P_l^m=(l+m)P^m_{l-1}+(l-m+1)P^m_{l+1}
\end{displaymath} (26)


\begin{displaymath}
(2l+1)\sqrt{1-\mu^2}\,P_l^m =P_{l+1}^{m+1}-P_{l-1}^{m+1}.
\end{displaymath} (27)

An identity relating associated Polynomials with Negative $m$ to the corresponding functions with Positive $m$ is
\begin{displaymath}
P_l^{-m} = (-1)^m { (l-m)!\over (l+m)!} P_l^m.
\end{displaymath} (28)

Additional identities are
\begin{displaymath}
P_l^l(x) = (-1)^l(2l-1)!!(1-x^2)^{l/2}
\end{displaymath} (29)


\begin{displaymath}
P_{l+1}^l(x) = x(2l+1)P_l^l(x).
\end{displaymath} (30)

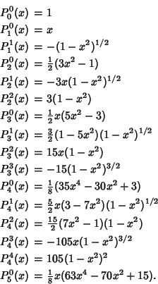
Written in terms of $x$ and using the convention without a leading factor of $(-1)^m$ (Arfken 1985, p. 669), the first few associated Legendre polynomials are

\begin{eqnarray*}
P_0^0(x) &=& 1\\
P_1^0(x) &=& x\\
P_1^1(x) &=& -(1-x^2)^{...
...x^2)^2\\
P_5^0(x) &=& {\textstyle{1\over 8}}x(63x^4-70x^2+15).
\end{eqnarray*}



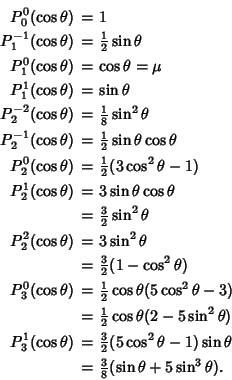
Written in terms $x\equiv\cos\theta$, the first few become

\begin{eqnarray*}
P_0^0 (\cos\theta) &=&1\\
P_1^{-1}(\cos\theta) &=&{\textsty...
...n\theta\\
&=&{\textstyle{3\over 8}}(\sin\theta+5\sin^3\theta).
\end{eqnarray*}



The derivative about the origin is
\begin{displaymath}
\left[{dP_\nu^\mu(x)\over dx}\right]_{x=0} = {2^{\mu+1}\sin[...
...over 2}}\nu-{\textstyle{1\over 2}}\mu+{\textstyle{1\over 2}})}
\end{displaymath} (31)

(Abramowitz and Stegun 1972, p. 334), and the logarithmic derivative is


\begin{displaymath}
\left[{d\ln P_\lambda^\mu(z)\over dz}\right]_{z=0} = 2\tan[{...
...2}}(\lambda+\mu-1)]![{\textstyle{1\over 2}}(\lambda-\mu-1)]!}.
\end{displaymath} (32)

(Binney and Tremaine 1987, p. 654).

See also Condon-Shortley Phase, Conical Function, Gegenbauer Polynomial, Kings Problem, Laplace's Integral, Laplace-Mehler Integral, Super Catalan Number, Toroidal Function, Turán's Inequalities


References

Abramowitz, M. and Stegun, C. A. (Eds.). ``Legendre Functions'' and ``Orthogonal Polynomials.'' Ch. 22 in Chs. 8 and 22 in Handbook of Mathematical Functions with Formulas, Graphs, and Mathematical Tables, 9th printing. New York: Dover, pp. 331-339 and 771-802, 1972.

Arfken, G. ``Legendre Functions.'' Ch. 12 in Mathematical Methods for Physicists, 3rd ed. Orlando, FL: Academic Press, pp. 637-711, 1985.

Binney, J. and Tremaine, S. ``Associated Legendre Functions.'' Appendix 5 in Galactic Dynamics. Princeton, NJ: Princeton University Press, pp. 654-655, 1987.

Byerly, W. E. An Elementary Treatise on Fourier's Series, and Spherical, Cylindrical, and Ellipsoidal Harmonics, with Applications to Problems in Mathematical Physics. New York: Dover, 1959.

Iyanaga, S. and Kawada, Y. (Eds.). ``Legendre Function'' and ``Associated Legendre Function.'' Appendix A, Tables 18.II and 18.III in Encyclopedic Dictionary of Mathematics. Cambridge, MA: MIT Press, pp. 1462-1468, 1980.

Legendre, A. M. ``Sur l'attraction des Sphéroides.'' Mém. Math. et Phys. présentés à l'Ac. r. des. sc. par divers savants 10, 1785.

Morse, P. M. and Feshbach, H. Methods of Theoretical Physics, Part I. New York: McGraw-Hill, pp. 593-597, 1953.

Press, W. H.; Flannery, B. P.; Teukolsky, S. A.; and Vetterling, W. T. Numerical Recipes in FORTRAN: The Art of Scientific Computing, 2nd ed. Cambridge, England: Cambridge University Press, p. 252, 1992.

Sansone, G. ``Expansions in Series of Legendre Polynomials and Spherical Harmonics.'' Ch. 3 in Orthogonal Functions, rev. English ed. New York: Dover, pp. 169-294, 1991.

Snow, C. Hypergeometric and Legendre Functions with Applications to Integral Equations of Potential Theory. Washington, DC: U. S. Government Printing Office, 1952.

Spanier, J. and Oldham, K. B. ``The Legendre Polynomials $P_n(x)$'' and ``The Legendre Functions $P_\nu(x)$ and $Q_\nu(x)$.'' Chs. 21 and 59 in An Atlas of Functions. Washington, DC: Hemisphere, pp. 183-192 and 581-597, 1987.

Szegö, G. Orthogonal Polynomials, 4th ed. Providence, RI: Amer. Math. Soc., 1975.



info prev up next book cdrom email home

© 1996-9 Eric W. Weisstein
1999-05-26