| 三、直线回归方程的假设检验 | 《医学统计学》 |
三、直线回归方程的假设检验(一)样本回归系数的假设检验 根据例9.1资料求得的是样本回归系数b,有抽样误差的,需作假设检验,检验其是否是从回归系数为0的假设总体(即β=0)中随机抽得的,也就是检验b与0的差别有无显着性。如果差别有显着性,可认为X与Y间有直线回归存在。 样本回归系数的假设检验亦用t检验。 H0:β=0即Y的变化与X无关; H1:β≠0。 计算公式为:
分母Sb是样本回归系数b的标准误,计算公式为:
分子Sy.x为各观察值Y距回归线的标准差,即当X的影响被扣去以后Y方面的变异,可按下式计算:
式中∑(Y-
根据数理统计的理论,同一批资料计算所得tr与tb是相同的,即tr=tb。处理资料时可检验相关显著性代替其回归显著性。 由于例9.1资料的r在α=0.01水准上显著,故可判断样本回归系数-8.5045与0的相差有显著性,说明存在凝血时间随凝血酶浓度变化而变化的回归关系。 (二)两样本回归系数相差的假设检验 若有两个可以比较的样本,它们的回归系数分别为b1与b2,经检验都为显著,回归系数的标准误分别为Sb1和Sb2。b1与b2相差的显著性也可用t检验法检验,其计算公式为:
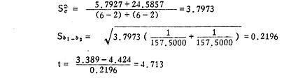
ν=n1+n2-4 式(9.11)中Sb1-b2为两样本回归系数之差的标准误,其计算公式为:
式(9.12)中S2C为两样本回归系数的合并方差,其计算公式为:
式(9.13)中∑(Y-
现以实例说明两样本回归系数t检验的步骤。 例9.2 表9.2资料为同一批白蛋白于38℃与25℃条件下,不同时间(分)的凝固百分比,问由此而得的两样本回归系数相差是否显著? 表9.2 白蛋白在两种温度下各不同时间的凝固百分比
本例图示见图9.10,本例计算见图下:
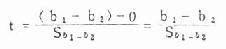
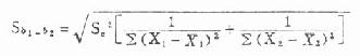
图9.10 白蛋白在两种温度下各不相同时间的凝固百分比 r1=0.998(P<0.01) b1=3.389∑(Y1- r2=0.996(P<0.01) b2=4.424∑(Y2- ∑(X1-X1)2=∑(X2-X2)2=157.5000 1.H0:β1-β2=0 H1:β1-β2≠0 α=0.01 2.计算t值:
3.查t值表作结论:以ν=6+6-4=8查t值表,得 t0.01,8=2.355,今∣t∣>t0.01,8,故P<0.01。 4.判断结果:按α=0.01水准,拒绝H0,接受H1,故两个回归系数差别显著。说明两条回归直线的斜率不同,两条回归直线中X对Y的影响规律不一致。现b2>b1,说明随着时间的增加,蛋白质在38℃时凝固百分比的增加量比在25℃时高。
| ||||||||||||||||||||||||||||||