四、无穷乘积

[基本概念] 设

是一个给定的无穷序列,则记号

=, qn0 (n=1,)

称为无穷乘积.

称为部分乘积.如果当n→∞时部分乘积序列{Pn}具有有穷的或无穷的(但有确定的正号或负号)极限

Pn=P

P称为无穷乘积的值,记作

P==, qn0(n=1,)

若无穷乘积具有非零有穷值P,则称为收敛的,否则称为发散的.P=0,则称为发散于零.

为使无穷乘积的值等于零,只要乘积的因子中有一个是零就够了,在后面的讨论中,总是假定qn0(n=1, ).

称为无穷乘积的余乘积.

[无穷乘积收敛判别法]

(1) 无穷乘积收敛的一个必要条件是:

πm=1qn=1

式中πm=.

(2) 无穷乘积收敛的充分必要条件是:级数收敛.L是前面级数的和,则P=eL.

(3) qn=1+an(n=1,2,…),对充分大的n,若有an>0(an<0),则=收敛的充分必要条件是:级数收敛.

(4) 若级数与级数同时收敛,则=收敛.

(5) 无穷乘积具有零值的充分必要条件是:级数的和为.

特别,如果an<0且级数发散,或级数收敛而级数发散,那末无穷乘积具有零值.

(6) 无穷乘积绝对收敛的充分必要条件是:级数绝对收敛.

[函数项无穷乘积的一致收敛] 如果函数序列

Pm(x)= (m=1,)

一致收敛,并且极限不恒为零,那末称函数项无穷乘积

一致收敛.

如果在某一区间上一致收敛,且,那末无穷乘积也在该区间上一致收敛.

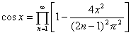
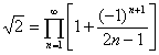
[无穷乘积展开式]

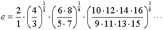
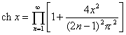
(| x| <1)

(其中γ为欧拉常数)

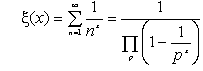
(其中p跑遍一切素数,ξ(x)称为黎曼ξ函数.)